请问你见过的最强的公式是什么?

出自专栏《上帝是个程序员:游戏制作人眼中的量子物理》

普朗克公式。
https://cdn.jsdelivr.net/gh/ifuncool/wpifuncool@master/wp-content/uploads/2022/12/8557-MrLOfN.png 普朗克一开始以为,自己只是简单发现了一个经验公式而已。
却没想到自己小小的一个「拼凑」,竟推倒了「经典物理学」,建立了「量子物理学」。
为了方便大家理解这个研究的过程,我先从「什么是量子」来说说。
其实,量子这个称呼大家虽然用得很多,但是大家并不明确它究竟是指一种粒子,还是指一种能量,或者是指一种状态。
比如我们常说的光量子、量子态或者量子化又都是什么。
大家都知道,现在市场上打着各种量子旗号的产品营销概念非常多。
诸如什么量子保健、量子治疗、量子显示器甚至量子去污、量子加热等等。
有关量子的词汇已经被用的泛滥成灾,真是万事皆可量子,以至于都流传起「遇事不决,量子力学」的顺口溜来。
这些混乱的词汇,混淆和污染了这个物理学概念,以至于大家都快以为这是营销骗子们的专用招牌用词。
那么,量子究竟应该是什么? 普通人可以弄明白这个概念吗? 我们能不能也用虚拟世界的角度来尝试理解它呢。
我们还是先来回顾下这个概念的诞生过程吧,顺便我们也正好能补上之前谈到的,物理学上曾经出现过的黑体理论矛盾案例。
「量子」这个词,最早来源于德国科学家马克斯·普朗克的创造。
他在一篇让他荣获诺贝尔物理学奖的论文中,首次使用类似的词:「能量子」(Energieelement)。
但随后很快,在另一篇论文里,他就改称为「量子」(Elementarquantum),英语就是 quantum。
这个字来自拉丁文 quantus,本来的意思就是多少「量」的意思,这个词已经使用到现在,当然其针对的概念也有了一些变化。
普朗克最早创造这个词的原因其实是为了解决一个当时物理学上的大麻烦,这个麻烦是来自于当年物理学对于「黑体辐射」问题的研究。
19 世纪末的时候,物理学家们开始对黑体模型的热辐射问题发生兴趣。
什么是黑体呢? 学过中学物理就都知道一个物体之所以看上去是白色的,那是因为它反射所有频率的光波。
反之,如果它看上去是黑色的,那是因为它吸收了所有频率的光波的缘故。
物理上定义的「黑体」,指的是那些可以吸收全部外来辐射的物体,比如一个空心的球体,内壁涂上吸收辐射的涂料,外壁开一个小孔。
那么,因为从小孔射进球体的光线基本都无法反射出来,这个小孔看上去就是绝对黑色的,这就是一个「黑体」。
不过黑体不一定是黑色的,其实只要不反射外来的光线的物体都可以看成黑体,而黑体自己也是可以发光的。
比如太阳也是一个黑体,它基本不反射外来的光线,所有的光都来自自身。
https://cdn.jsdelivr.net/gh/ifuncool/wpifuncool@master/wp-content/uploads/2022/12/8557-i0k9xb.png黑体就是不反射任何辐射的物体其实很早的时候,人们就已经注意到黑体的温度和他对外的辐射频率似乎有一定的对应关系。
比如我们把一块铁放在火上加热,那么到了一定温度的时候,它会变得暗红起来(其实在这之前有不可见的红外线辐射),温度再高些,它会变得橙黄,到了极度高温的时候,我们可以看到铁块将呈现蓝白色。
所以我们发现黑体对外辐射能量的频率和温度之间有着一定的函数关系。
科学家研究现象的时候最早是使用经典热力学的两个公式来计算,一个叫做维恩分布公式,也叫维恩定律,另一个叫瑞利—金斯公式。
为啥要用两个公式呢? 因为这两个公式都不能完全符合黑体辐射的实际实验数据。
维恩分布公式在短波长范围内和实验数据符合得很好,但是在长波长的范围就不对了,产生了很大的误差。
而瑞利—金斯公式正好相反,它在长波方面符合了实验数据,但在短波方面的失败却是显而易见。
尤其是瑞利—金斯公式显示,黑体辐射的波长越短的话,释放的能量就会指数级别的上升,如果到达紫外光波段,辐射能量甚至会趋向无穷大。
这个结果实在是太荒谬了,以至于有的物理学家把这个问题称之为「紫外灾变」(ultraviolet catastrophe)。
你看,物理学家们就经常遇到这种糟心事,两套公式都在某个领域是对的,但是又不能完全覆盖所有情况。
这就像你有一双皮鞋,可惜都是左脚的,有一双运动鞋,可惜又全都是右脚的。
你虽然拥有两套鞋子,而且分别都是合脚的,但居然都凑不出一双能穿出去的,这可太难受了。
一般来说,物理学家遇到这种问题就会明白,大革命的时候到了,这一定说明现有的旧理论过时了,需要一个全新的更加普适的理论体系才能解决问题。
就像之前我们提到的量子理论和相对论之间的矛盾和冲突一样,我们不能简单地通过修改旧理论来解决问题,我们必须创建出全新的革命性的大一统理论来彻底替代它们才行。
其实相对于现在大一统的世纪难题来说,这个紫外灾变问题的困难级别当然要低得多得多,但是就算这样,那也是划时代的问题,不是随便什么人都能解决得了的。
不过幸运的是,当年这个问题出现的时机特别好,正逢 20 世纪初的物理学发展的超级黄金年代。
那个年代正是人类天才迸发、高手乱入的神奇时期,各路神仙正在等待机会纷纷现世,而这种时机必然会成就大神。
果然,还没有多久,就有一位大神就盯上了这个黑体问题,正是大名鼎鼎的德国物理学家马克斯·普朗克——一位脸庞消瘦,留着小胡子,还略微有点谢顶的中年男人,看上去似乎像个很普通图书管理员。
当然他年轻时候还是很帅气的,只是中年形象变得似乎邋遢了一点而已,但这不重要,重要的是他马上要做出的事情却是开创时代的。
https://cdn.jsdelivr.net/gh/ifuncool/wpifuncool@master/wp-content/uploads/2022/12/8557-Y1ExF3.jpg物理学:我不背这个变丑的锅大约从 1894 年起,36 岁的普朗克就开始研究这个棘手的黑体辐射问题了。
刚开始他的野心不大,只是想看看能不能单从数学角度来解决掉这个问题。
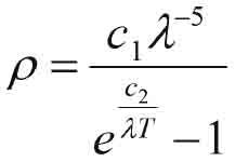
于是他就把那两个经典物理的公式拿来琢磨,经过一番折腾,他成功的用这两个公式拼凑出了一个全新的公式出来。
他用新公式的计算结果和实验数据进行了比较,结果发现结果居然非常吻合,不管是在长波段还是短波段,这个新的公式都能很好的符合实验数据。
看,这个公式长的就是这样的,大家瞅瞅就好。
https://cdn.jsdelivr.net/gh/ifuncool/wpifuncool@master/wp-content/uploads/2022/12/8557-H01PF7.png普朗克公式普朗克一开始还没意识到他弄出了一个什么玩意,真是有点手持核弹而不自知的意思。
他还以为自己只是简单发现了一个经验公式而已。
但是凭借他的天才智慧,他很快发现这个公式一点都不简单,这个公式里,似乎蕴藏着一种超越时代的崭新理念。
他之前用来拼凑用的两个传统公式中,维恩公式是从玻尔兹曼运动粒子的角度来推导辐射定律得到的,这个公式里把能量看作了一种粒子形式。
而瑞利—金斯公式,则是从麦克斯韦电磁辐射的角度来推导的。
这把能量看作了一种波的形式,那么新公式把两者结合起来了,那新的公式,它究竟是建立在粒子的角度上,还是建立在波的角度上呢? 对这个问题的深入思考,似乎要推动诞生出什么伟大的变革一样。
20 年后,1920 年,普朗克站在诺贝尔的领奖台上发表演说,他这样回忆道:「……经过一生中最紧张的几个礼拜的工作,我终于看见了黎明的曙光。 一个完全意想不到的景象在我面前呈现出来。 」 什么是「完全意想不到的景象」呢? 原来普朗克发现,为了解释新公式仅仅引入分子运动理论还是不够的,简单以波动形式来理解也是不够的。
在处理熵和概率的关系时,如果要使这个新方程成立,就必须做一个假定:假设能量在发射和吸收的时候,不是连续不断,而是分成一份一份的。
这个假定在当时是极其具有颠覆性的,为什么呢? 因为人类之前创造整个经典物理学的数学基础,就是建立在对现实世界连续性假设的基础上的,我们天然就认为自然界的一切变化,都应该是连续的。
比如我们认为距离变化是连续的,一个人从 A 地到 B 地,必然要经过从 A 到 B 之间的每个点,而且是无穷多个点。
时间是连续的,从 A 时刻到 B 时刻,必然要一一经过其中的无数中间时刻。
还有,质量变化是连续的,温度变化是连续的,力的变化是连续的,能量变化自然也应该是连续的。
我们天然会感觉只有连续的世界才是最自然的,大自然怎么可能出现离散的能量呢?怎么可能有不可细分的最小能量单位呢? 如果有一个物理量居然不是连续的,那么人类对我们现实世界的认知都要发生根本性的变化了。
整个经典物理学大厦被牛顿、开尔文、麦克斯韦这些大神搭建起来后,从来没有任何一个人能动摇过这栋宏伟大厦的任意一根柱子或者墙壁,人们也从来不会觉得有任何力量能动摇这样稳固宏大的大厦。
但是普朗克,这个来自德国的中年男人,他要向这座大厦发起的看起来微不足道,但是却侵蚀其数学基础的攻击。
1900 年 12 月 14 日圣诞前夕,这天普朗克在德国物理学会上发表了他的大胆假设。
他宣读了那篇名垂青史的《黑体光谱中的能量分布》的论文,普朗克拿着寥寥几页纸,认真的说出了这一段核弹级别的话: 为了找出 N 个振子具有总能量 Un 的可能性,我们必须假设 Un 是不可连续分割的,它只能是一些相同部件的有限总和…… Die Wahrscheinlichkeit zu finden, dass die N Resonatoren ingesamt Schwingungsenergie Un besitzen, Un nicht als eine unbeschränkt teilbare, sondern als eine ganzen Zahl von endlichen gleichen Teilen aufzufassen… 这段话很晦涩,但其实意思就是我们必须假设能量是不连续的,它有基本的单位。
这个基本单位,普朗克把它称作「能量子」(Energieelement)。
但随后很快,在另一篇论文里,他就改称为「量子」(Elementarquantum),英语就是 quantum。
这段话看似平淡无奇,但是宏伟的经典物理学大厦在这段话的轻轻一击之下,竟然分崩离析,顷刻间坍缩变小,居然成为了一栋新的更宏伟的城堡的门口的一件小小装饰品,而那栋新的城堡上悬挂着一幅崭新的耀眼招牌:「量子物理学」。
普朗克仅仅用假设能量变化的不连续性,就将整个经典物理学都变成了他新拓展的更宏大的物理学体系中的,在常规尺寸和低速条件下的一种局部理论,这是何等开创性的思想。
为什么一个能量不连续的假设就有这么巨大的威力呢? 因为对物理量的连续性的认知,其实上,是对我们所处的现实世界的本质的旧有传统认知的彻底颠覆。
这里要提到的一个哲学上非常有名的悖论—— 芝诺悖论。
芝诺(Zeno)是古希腊爱利亚派学派创始人巴门尼德的学生,他曾经提出过很多和运动有关的悖论,其中最有名的就是四大芝诺悖论。
其中第二悖论又叫「阿喀琉斯追龟辩」,这里面便牵涉时间和空间的连续性问题。
阿喀琉斯(Achilles)是荷马史诗《伊利亚特》里的希腊英雄,他跑得非常快。
话说有一天他碰到一只乌龟(谁也不知道为啥他能和乌龟交流),乌龟竟然嘲笑他说:「别人都说你厉害,但我看你如果跟我赛跑,还追不上我。 」 阿喀琉斯大笑说:「这怎么可能。 我就算跑得再慢,速度也有你的 10 倍不止,哪会追不上你?」 乌龟说:「好,那我们假设一下。 你离我有 100 米,你的速度是我的 10 倍。 现在你来追我了,但当你跑到我现在这个位置,也就是跑了 100 米的时候,我也已经又向前跑了 10 米。 当你再追到这个位置的时候,我又向前跑了 1 米,你再追 1 米,我又跑了 110 米……总之,这个过程会无限继续下去,而你也只能无限地接近我,但永远也不可能追上我。 」 乌龟说完,狡黠的光芒在龟头上明显一闪而逝。
阿喀琉斯怎么听怎么有道理,一时竟丈二和尚摸不着头脑。
https://cdn.jsdelivr.net/gh/ifuncool/wpifuncool@master/wp-content/uploads/2022/12/8557-ROucEH.jpg第二芝诺悖论这个故事便是具有世界声誉的著名悖论之一。
可能有高中数学知识的朋友一听就笑了,这不就是个极限问题吗,我们来算下时间积分不就知道无限相加的追击时间了么。
但其实问题没有那么简单。
我们之所以能用数学算出追上的时间,其实只是我们凭经验,知道阿喀琉斯是肯定能追上乌龟的,也就是说无限项的追击时间相加是可以限制在一个有限值里面。
但是数学没有告诉我们,为什么会这样?为什么无限项相加却会有一个有限值,而不是无穷大呢? 这其中有一些数学概念其实是人们凭借经验来设定的,比如说无穷小虽然不是零,但是我们可以把它当做零处理。
也就是说,人们其实还是凭借经验预设了答案,而数学只是把我们的经验精确量化而已。
但所谓极限求和的过程到底是在哪里如何终结的大家并不知道。
所以量子思想一诞生,大家就感觉有了解决无限细分问题的新思路,这个思路提供了解决芝诺悖论另一种解释,那就是我们这个现实世界的一切都不是连续的,无论是空间还是时间,都是有最小单位的,有最小的不可分割的单位。
一旦存在最小的不可分割的单位,那么就没有什么所谓的无穷极限问题了,我们对时间的分割就是有尽头的,所以总有那么一刻,乌龟就会发现自己没有更小的时间片可用了,它必须停住不动让阿喀琉斯超越过去。
当然我们还可以反过来思考,幸好我们的现实世界是不连续的,否则在理想世界里,我们连只乌龟都追不上,或者说一切事物可能都无法正常运行。
这是一种颠覆世界本质的新思路,从此一切都不连续就成为了量子理论的最基础的根基。
可能在数学上,我们永远也无法想象出不连续的时空,但是在量子物理的世界里,我们却可以让一切都有最小单位的。
比如时间的最小单位是普朗克时间,空间的最小单位是普朗克长度,能量的最小单位就是量子。
从此量子的第一层含义就成为了能量的最小最基本单位。
https://cdn.jsdelivr.net/gh/ifuncool/wpifuncool@master/wp-content/uploads/2022/12/8557-erlLx7.jpg经典物理和量子物理对能量性质的不同看法之所以说是第一层含义,是因为量子还有其他的含义,我们随后就会提到,但是到这里,大家可能还是会感觉一些荒谬感。
你日常所感觉到的一切事物,竟然都是不连续的? 我们从小学习几何的时候,老师就告诉我们,一条直线上有无数个点,一个面上有无数条直线,一个立方体里面又有无数的面,一切空间都是可以无限连续细分的。
这些知识,早就让人产生了时空是连续可无限细分的根深蒂固的观念。
现在你要告诉我原来数学只是描述一种理想世界的情况,原来在现实世界里,没有任何可以无限细分的东西,任何东西的细分都是有尽头的,这真是太虚幻了。
感觉很虚幻是吧,很虚幻就对了,因为在很虚幻的虚拟世界里万物都有最小单位这不就是天经地义的事情么。
比如你用的显示器也好,VR 头盔也好,无论画面显示的多么精细细腻,一定都是有最小分辨率的,在最小像素以下就无法再进一步细分图像元素了。
虚拟世界里面一切空间设定也都是有最小单位的,至于这个单位多大那就要看这个世界的设计精度是多少了。
比如你要定义 https://cdn.jsdelivr.net/gh/ifuncool/wpifuncool@master/wp-content/uploads/2022/12/8557-2BH6cP.png 米作为你的长度的基本刻度,那么它就和现实世界一致了,因为这个尺寸正好是现实世界的最小尺度——普朗克长度。
当然,如果你要是把尺度定义得太大,那就成为我们熟悉的像素块游戏的,比如「我的世界」(Minecraft)就是一个基本尺寸设置的很大的游戏。
https://cdn.jsdelivr.net/gh/ifuncool/wpifuncool@master/wp-content/uploads/2022/12/8557-BOKn1G.jpg这个世界的本质也像个沙盒游戏我们知道虚拟世界自然也是有最小的时间单位的,虚拟世界的最小时间单位就是系统时钟一次脉冲的时间,而比这更短的时间对于虚拟世界来说是没有意义的,因为在系统时钟一次脉冲之内虚拟世界无法运行任何代码,也就无法发生任何的事情,全世界都是绝对凝固的。
如果这个系统的时钟频率能达到 1x10-43 秒的话,那也就可以现实世界的最小时间单位——普朗克时间一致了。
所以,你看我们的现实世界,是不是就是一个用普朗克长度大小的格子搭建起来,在普朗克时间的回合频率下运转的一个沙盒游戏? 至于能量在量子世界里,更加是不可连续的物理量,正是这个不可连续性的思想才导致后来玻尔提出了玻尔原子模型,描绘出了我们今天大家都熟知的原子的模型:原子由原子核和核外电子构成,核外电子在距离原子核遥远的轨道上围绕原子核做圆周运动,核外电子都有一些确定的轨道,当核外电子吸收了特定数额的能量之后就能跃迁到更高的轨道上,同样电子也能释放出光子能量跑到更低的轨道上。
但是,这些轨道的位置都是固定的,电子不能存在在两条轨道之间,而且电子在轨道之间跳跃的过程也是瞬间的,没有中间变轨的状态。
此外,电子吸收和释放出的能量多少也是确定的,只有特定的频率的辐射才能激发电子的跃迁。
你看,玻尔的原子模型的这些概念里面充满了各种特定数值、固定轨道等等精确的设定,不断的强调在模型里面电子的状态无法连续变化,也没有中间状态,就像汽车的变速档一样,只有固定的档位,在档位之间的状态是不存在的,电子只能从一个挡跃迁到另一个。
这种思想放在经典物理学里简直不可思议,一个物质怎么可能从 A 位置跳跃到 B 位置而不经过中间的任何位置呢,同样为什么只能释放和吸收固定的能量,不能像烧水一样,无论多少能量都可以均匀地累积吸收呢? 但是,最终现在物理学用各种实验证明,在上百年前的科学家凭借量子思想构建出来的原子模型的确是正确的,不连续性就是微观世界的特性,微观世界里反而没有什么东西是连续的。
甚至可以说,不连续性就是量子世界的基石之一(另一大基石是不确定原理)。
而且,对于不连续的能量阶梯为什么会是这些数值,其实科学家们没有找到任何依据,好像宇宙诞生出来就自然设定成为这样了,这就是我们这个世界的最原始最基础的数值设定。
大家是不是有点感觉,这个世界的确非常像是有人刻意编码出来的一个非自然的世界,很多事物的数值都已经毫无理由、毫无原因地写死在我们这个世界的底层代码里面了,我们无法理解为什么会是这些数值,也无法改变它们,只能无条件地接受这些设定而已。
比如我们无法知道物理学那些常数,比如引力常数或者普朗克常数为什么是现在的数值,而精细结构常数的意义又是什么? 这些知识更多都来源于我们对客观世界的观察和总结而非数学逻辑推导。
可能那个造物主码农在设定它们的时候有他的理由吧,比如设定变量时候正好用的是他自己生日,或者只是他最喜欢的那个球星的衣服号码而已。
总之,这些数值一旦写进我们宇宙的底层规则里,就成为了真正的铁律,所有的物质和能量都必须毫无理由地服从并依此运转。
而量子的不连续性更加严重的加深了这种数值化的感觉,量子的不连续性可以说是从数学意义上明确地区分出了现实世界和理想世界的本质差别,现实世界里没有所谓的无限小,或者绝对均匀和光滑,现实世界就和我们的游戏一样,不能放大细看,细看全是锯齿和马赛克。
https://cdn.jsdelivr.net/gh/ifuncool/wpifuncool@master/wp-content/uploads/2022/12/8557-nLtguD.jpg现实就是一个大号的 Minecraft量子的另一层含义也给我们同样强烈的感觉。
量子除了是一个能量单位以外,它还有第二层含义,就是它表述了一种状态,一种不确定的状态。
怎么解释呢? 比如说,光子在传播的时候,没有人知道它会去的哪里,没有人知道两条缝它会穿过哪一条,也没人知道它会打在幕布的哪个位置上。
所以,爱因斯坦当年就把光子的这种不确定的状态也叫做量子,「光量子」。
所以,我们也经常用量子态来表述粒子的不确定状态,一种还未被观测的状态。
更加准确的解释是,量子是对粒子的波粒二象性中的波动状态的描述。
比如,物理学家们经常会说某某量子如何运动,这通常就是指一个未经过观测的粒子,这时候粒子还处于一种波函数的形态中,其各种属性也都是处于叠加态中。
所以也可以这么说,量子的第二层含义其实就是波,物质的波,任何未经观测的不确定的处于波动状态的物质我们都可以称之为量子,而且不限于微观粒子。
比如科学家们把一些特殊的宏观体系的某些特殊状态也称之为量子态,比如气态原子的玻色-爱因斯坦凝聚体有时候也被成为宏观量子。
那么对于量子的第二层概念,如果用虚拟世界的视角我们该如何理解呢? 其实我们之前在波粒二象性里面就解读过,对于物质的波动形态我们可以视作是未经运行的程序代码,而粒子形态则是代码运行输出的结果。
所以量子自然就是用代码构成的函数,量子态就是物质的代码形态。
对于一个虚拟世界来说,其实绝大部分的物质都是存在于代码形态之中的,它们绝大多数时候都不需要运行,它们只等待着被某个意识的观测行为驱动才会被调用并输出结果,然后发生进一步的变化。
所以我们提到粒子的时候,其实表述的是程序运行的结果,而提到量子,或者提到波动、波函数的时候,表述的才是这个程序本身。
这也是一种全新的理解世界的方式。
我们可以把整个世界都视作是量子化的,宇宙里的每一个粒子其实都只是存在于一种代码状态中。
它们就像是电子游戏一样,在没有人体验的时候整个世界都只是储存介质上的凝固的数字编码和逻辑,没有什么在运动,也没有什么在变化。
但是一旦用户登录进入,用户角色所观察到的一切就马上被运算了出来。
但用户看不到任何代码,看不到任何量子,看不到这个世界背后的复杂底层,用户看到的依然是一个确定的、实在的、生动的世界,而一切都发生在观测的那一瞬间。
换言之,整个宇宙其实都是被你的观测所驱动的,你每观测一次,整个宇宙被你所观测的部分才向前跳跃一次,或者说将过去直到上次观测之间的历史结算一次。
你连续观测则宇宙就连续输出,你停止观测则宇宙就进入等待,宇宙一点都不会毫无意义地浪费算力,宇宙只为你而计算! 好了,我们从量子的不连续特性谈开来,已经涉及到对整个宇宙本质的理解了,这也跑得有点太远。 我们还是先收回下思想,回头继续看看我们下站应该去到哪儿吧。
之前我们说到,不连续性是量子的本质特性,也相当于我们量子列车的路轨一样。
那如果不连续性是承载我们量子列车的铁轨之一,那么铁轨的另一条应该是什么呢? 我们看到,另一条铁轨上居然写着「不确定性」!量子物理的基础我们不禁该感慨一下,这趟量子列车行驶起来还真是不容易,承载量子列车这么庞大身躯的铁轨,一条叫不连续,另一条居然叫不确定。
靠这样两条听起来就不靠谱的轨道,量子列车居然还跑得稳稳当当的,一点问题也没有,真是令人叹为观止。
其实,我们刚才的讨论里面已经提到了量子的不确定性。
但是量子究竟有多不确定,它的不确定性究竟包含一些什么,又有多么重要,我们还是应该认真了解一下的,尤其是我们认为这条特性足以作为量子体系的最基础理念之一。